叔丁醇生产工艺及设计
叔丁醇,又称三甲基甲醇、2-甲基-2-丙醇等,叔丁醇是无色的结晶,有少量水存在时为无色挥发性液体,有类似樟脑的气味,有吸湿性,易燃,和其它醇相比有较高的毒性和麻醉性。叔丁醇的熔点为25.55℃,沸点为82.5℃,相对密度d420为0.7867。叔丁醇可溶于大多数有机溶剂,如醇类、酯类、酮类、芳香族及脂肪烃类。这些性质使叔丁醇成为有用的溶剂和添加剂,是具有广泛用途的石化产品之一。
叔丁醇用途
叔丁醇常代替正丁醇作为涂料和医药的溶剂。用作内燃机燃料添加剂(防止化油器结冰)及抗爆剂。作为有机合成的中间体及生产叔丁基化合物的烷基化原料,可生产甲基丙烯酸甲酯、叔丁基苯酚、叔丁胺等,用于合成药物、香料。叔丁醇脱水可制取纯度99.0-99.9%的异丁烯。用作工业用洗涤剂的溶剂,药品萃取剂、杀虫剂、蜡用溶剂、纤维素酯、塑料和油漆的溶剂,还用于制造变性酒精、香料、果子精、异丁烯等。可以用于测定分子量用的溶剂及色谱分析参比物质。此外,常代替正丁醇作为涂料和医药的溶剂。用作溶剂、色谱分析标准物质。用于香料合成。用作内燃机燃料添加剂(防止化油器结冰)及抗爆剂。作为有机合成的中间体及生产叔丁基化合物的烷基化原料,可生产甲基丙烯酸甲酯、叔丁基苯酚、叔丁胺等,用于合成药物、香料。

叔丁醇的生产工艺
生产叔丁醇的方法主要有异丁烯间接水合法、异丁烯直接水合法和异丁烷/丙烯共氧化法生产环氧丙烷联产叔丁醇。间接水合法是传统的叔丁醇生产方法,有逐渐被淘汰的趋势。国外叔丁醇的生产主要来自异丁烷/丙烯共氧化法环氧丙烷生产装置,少量来自异丁烯直接水合生产装置(主要集中在德国和日本),而美国主要采用共氧化法生产环氧丙烷联产叔丁醇。国内的生产厂家大部分采用异丁烯直接水合工艺。但是大部分生产厂家目前采用的直接水合生产叔丁醇工艺技术普遍存在转化率低(小于40%)、成本高、产品规模小等问题,因此缺乏国际市场竞争力。
2.1. 异丁烯间接水合法
异丁烯间接水合法是传统的生产方法,使用45%~65%硫酸为催化剂,以抽提丁二烯后的C4馏分为原料,使其中的异丁烯发生水合作用生成叔丁醇。异丁烯反应活性高于正丁烯,用50%硫酸对iC4=具有良好的选择性,它与nC4=反应速度只为iC4=的1/60,所以异丁烯与硫酸水合反应很快。反应条件为5~20℃,0.7MPa。通常是将抽提丁二烯后的含有1-丁烯、2-丁烯、异丁烯、丁二烯和丁烷的C4馏分先用50%硫酸进行萃取,使其中的异丁烯与硫酸酯化生成硫酸异丁酯,再将硫酸异丁酯水解生成稀叔丁醇,再经浓缩、提纯得到叔丁醇。异丁烯的转化率达99%。

2.2. 异丁烯直接水合法
以抽提丁二烯后的C4馏分为原料,在强酸性离子交换树脂或多相催化剂存在下,异丁烯直接水合生产叔丁醇。C4烃与水不互溶,为提高C4烃与水的互溶度,有些公司采用加增溶剂的方法。离子交换树脂为磺化二乙烯基苯交联聚苯乙烯,其二乙烯基苯和磺酸基含量皆不低于12%,后者还略高。反应温度为40~100℃,水合条件较温和。一般水合单程转化率为45%~55%。反应是放热的,反应热必须从反应器中除去。直接水合法不生成二异丁烯及三异丁烯副产物,也不存在硫酸腐蚀设备,及排出大量硫酸钠废水造成环境污染的问题,而且催化剂为固体,易分离,污染小。
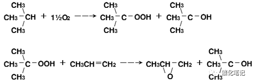
2.3. 异丁烷/丙烯共氧化法生产环氧丙烷联产叔丁醇
以异丁烷为原料,在110~150℃,2.2~5.6MPa以空气或氧气为氧化剂,异丁烷发生液相非催化氧化反应,生成叔丁基氢过氧化物和叔丁醇。叔丁基氢过氧化物在可溶性环烷酸钼催化剂存在下与过量丙烯在多级环氧化反应器中进行液相反应,生成环氧丙烷和叔丁醇,共氧化反应温度为80~130℃,压力为1.8~7MPa,接触时间0.3~2h。

一套年产环氧丙烷25.3万吨的装置,可联产叔丁醇33.2万吨。此法叔丁醇作为副产品生产,但生成量却超过环氧丙烷主产品。该法不存在氯醇法的缺点,无腐蚀问题,收率高,选择性好。
山东中天科技工程有限公司有着丰富叔丁醇项目的设计经验,曾为多家知名生产企业进行工艺设计,工艺先进,设计合理,可以进行工程定制设计,实现前期设计、过程跟踪、后期优化的“一站式”设计服务。